एमालेको समानुपातिक सूचीमा बाराबाट अन्जु नेपालीमात्रै, एकवाल मिया आउट !
वि.सं.२०८२ माघ ४ आइतवार २३:१८
975
shares

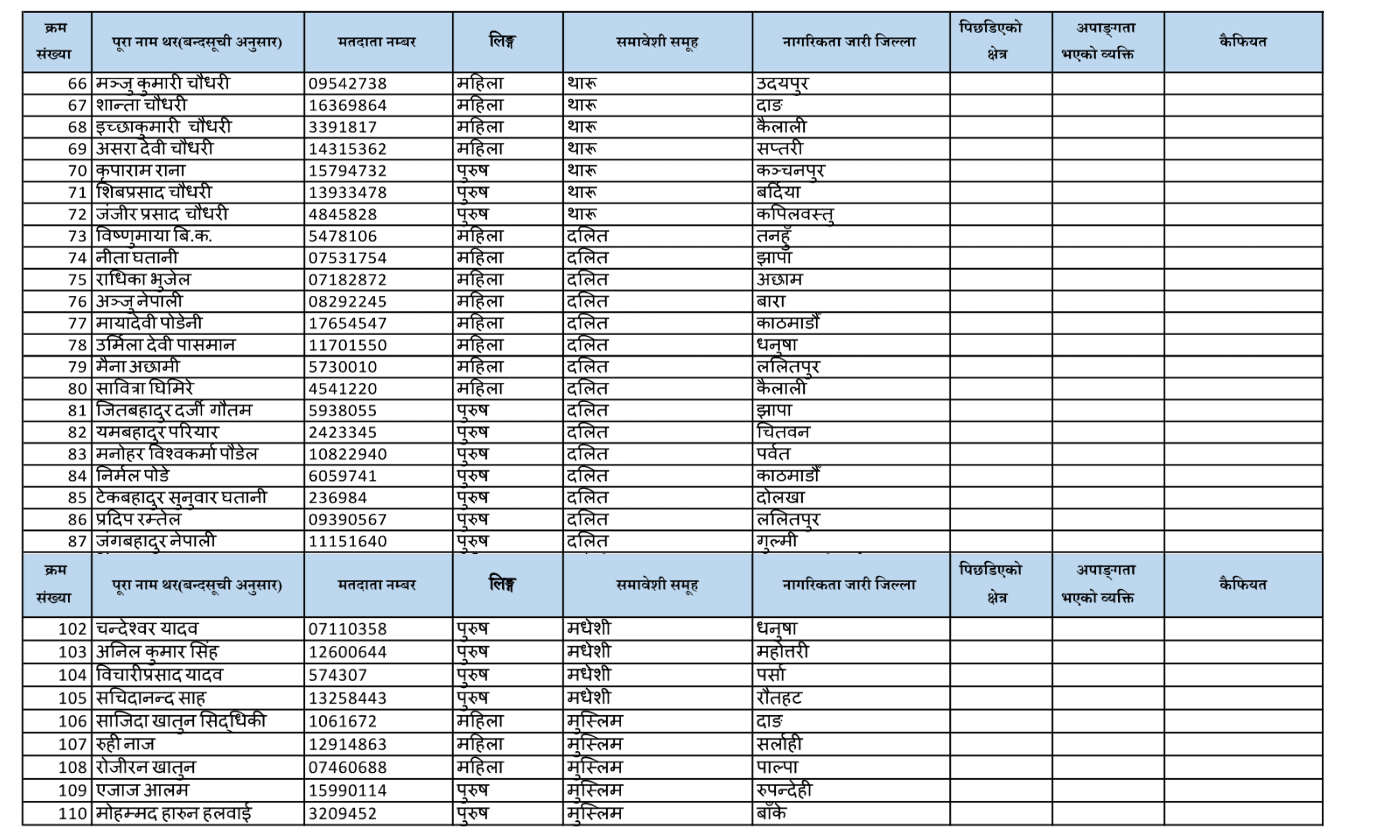
बारा–नेकपा (एमाले) को समानुपातिक सूचीमा बाराका एक जनाको मात्रै नाम रहेको पाईएको छ ।
निवार्चन आयोगले आइतबार (माघ ४) सार्वजनिक गरेको अन्तिम सूचीअनुसार दलित कलस्टरमा निजगढकी अन्जु नेपालीको नाम मात्रै समावेश भएको पाईएको हो ।
यसअघि निर्वाचन आयोगमा बुझाईएको सूचीमा मुस्लिम कलस्टरमा बारा क्षेत्र नं. ४ का एकवाल मियाको समेत नाम थियो । अन्तिम सूचीमा भने उनको नाम हटेको छ ।
नेपाली अनेमसंघ मधेस प्रदेश कमिटी अध्यक्ष हुन् ।

यी हुन् नेकपा एमालेको समानुपातिक तर्फको बन्दसूचीका अटाएका बाराका उम्मेदवार
वि.सं.२०८२ माघ ४ आइतवार २३:१८

















